See how high-voltage electroporation can be applied to filamentous fungi. Using the Bio-Rad Gene Pulser™ System, this foundational study by Goldman et al. evaluates electroporation as a method for introducing plasmid DNA into Trichoderma harzianum. The study highlights how electrical parameters and the addition of polyethylene glycol (PEG) affect transformation efficiency, offering practical reference points for adapting electroporation protocols to fungal systems. Read on for a closer look.
Featured Content
Contributed by G.H. Goldman, R. Geremia, M. Van Montagu, and A. Herrera-Estrella, Laboratorium voor Genetica, Rijksuniversiteit Gent, B-9000 Gent, Belgium
Introduction
Virtually all fungal transformation protocols call for the addition of a high concentration of polyethylene glycol (PEG) following the initial period of exposure to DNA. However, electroporation could also be useful for introducing genes into filamentous fungi. Recently, electroporation has become a valuable technique for transferring nucleic acids into both eukaryotic and prokaryotic cells (Miller et al., 1988; Föster and Neumann, 1989). In this report, we show the use of high voltage-mediated transformation as an efficient method for genetic transformation of Trichoderma harzianum with plasmid DNA.
Materials and Methods
Strains and plasmid T. harzianum strain IMI206040 was used as the transformation host. The plasmid used was pAN7-1, a derivative of pUC19 containing the E. coli hygromycin B phosphotransferase gene as a dominant selectable marker, and the gpd promoter and trpC terminator signals from Aspergillus nidulans (Punt et al., 1987). Plasmid DNA was purified from E. coli MC1061 by standard procedures (Maniatis et al., 1982) and dialyzed against distilled water prior to use.
Electro-competent cells Osmotically sensitive cells (OSC) were prepared according to Laurila et al. (1985) with the following modifications: cellophane sheets placed on Potato Dextrose Agar (PDA) plates were inoculated with 5 x 106 spores/ml and incubated for 21 hours at 28 °C; the germinative tubes from five cellophane sheets were suspended in 15 ml of buffer (1.2 M MgSO4, 10 mM sodium phosphate, pH 5.8) containing Novozyme-234 (5 mg/ml) in a Petri dish; and, these plates were incubated at 28 °C for 30 minutes with agitation in a rotary shaker at 150 rpm. The OSC generated with this treatment were then centrifuged in corex tubes at 4,000 x g for 5 minutes and the pellet was washed twice with 1.2 M sorbitol in water. After the last wash, the OSC were resuspended in 1.2 M sorbitol at the desired concentration.
Transformation by electroporation Two micrograms of transforming DNA were mixed with 400 µl of the OSC suspension and kept on ice. High voltage pulses were delivered to 400 µl samples in 0.2 cm electrode gap cuvettes (Bio-Rad Laboratories) by using a Gene Pulser® apparatus with the Pulse Controller (Bio-Rad Laboratories). Following delivery of the electrical pulse, OSC were mixed with 1.0 ml of Potato Dextrose Broth (PDB) plus 1.2 M sorbitol (PDBS), incubated for 10 minutes on ice, and then for 2 hours at 28 °C. When PEG was used, the following modifications were made: before adding the transforming DNA, spheroplasts were centrifuged at 4,000 x g for 15 minutes; the pellet was resuspended in 400 µl of 1.2 M sorbitol plus 1.0% PEG 6000 (Fluka); and, after electroporation, the OSC were mixed with 5.0 ml PDBS. After the incubation period of either treatment, aliquots were plated using an agar overlay on plates containing PDA plus 1.2 M sorbitol and 100 µg/ml of hygromycin B as previously described by Herrera-Estrella et al. (1990).
DNA preparation. DNA was isolated from T. harzianum mycelia grown in liquid cultures in PDB medium plus 20 µg/ml of hygromycin B (Calbiochem) according to the method described by Raeder and Broda (1985).
Results
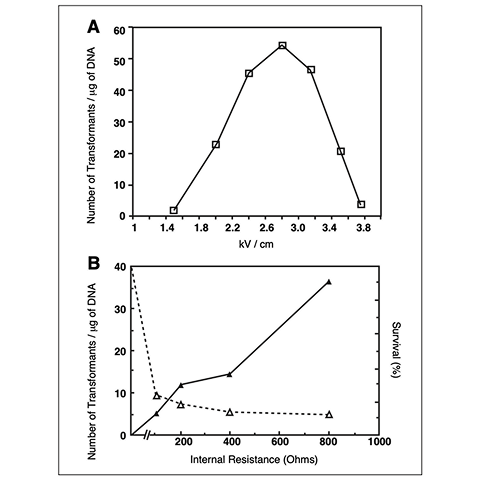
Electroporation of germinative tubes or mycelia from T. harzianum did not yield transformants, so osmotically sensitive cells were tested. The effect of incubation time of the germinative tubes with the cell wall-degrading enzymes on the electro-transformation efficiency was tested. Intervals of 15, 30, and 45 minutes were used. An incubation period shorter than 30 minutes did not yield any transformants while a 45 minute incubation yielded 50% less transformants than did a 30 minute incubation time (data not shown). To optimize conditions, different combinations of voltages and capacitances were chosen, while holding the parallel resistor at 200 ohms and holding the concentration of OSC at 2.0 x 108 per ml (data not shown). The electroporation medium consisted of distilled water with 1.2 M sorbitol as an osmotic protectant. These preliminary results indicated that transformation could be obtained at 2.0 kV/cm with a capacitance of 25 μF. Figure 1A shows that this was a good approximation since the maximum yield of transformants was found at 2.8 kV/cm.
The effect of the parallel resistor (and thus the time constant, τ=RxC) on electroporation efficiency was also examined (Figure 1B). The best yield was obtained when the pulse was delivered using a field strength of 2.0 kV/cm, a parallel resistance of 800 ohms and a capacitance of 25 μF. Using 2.0 kV/cm with 25 μF, the survival of the OSC decreased sharply at 100 ohms reaching 20% survival, and continued to decrease slowly from 200 ohms to 800 ohms. At 800 ohms, the survival was about 10.0%. From these initial experiments, the best electrical conditions found for the electroporation of T. harzianum were a field strength of 2.8 kV/cm with a capacitance of 25 μF and a parallel resistance of 800 ohms. T. harzianum OSC subjected to these conditions in the absence of the pAN7-1 plasmid did not produce any hygromycin-resistant colonies.
Total cellular DNA of several independent transformants was isolated. Undigested DNA, as well as DNA digested with EcoRV, BamHI, HindIII, and EcoRI was subjected to agarose gel electrophoresis and analyzed by Southern blot using pAN7-1 as a probe. Wild-type T. harzianum contained no sequences hybridizing to the vector. Figure 2 shows the pattern of hybridization for three transformants. The pAN7-1 plasmid is about 6.5 kb in size, and it has no EcoRV sites, one site each for BamHI and HindIII, and two sites for EcoRI (which yields two fragments of about 3.9 and 2.6 kb). The digestions showed the restriction patterns expected from the restriction map of pAN7-1. Each transformant most likely contains tandem repeats of the vector. Hybridization of undigested DNA occurred only in the high molecular weight genomic band (UC), suggesting that pAN7-1 integrated into the genome and did not replicate autonomously.
The effect of the number of electro-competent cells on the transformation efficiency has already been observed in bacteria, mammalian cells, and plant protoplasts (Fromm et al., 1985; Dower et al., 1988; Miller et al., 1988; Shigekawa and Dower, 1988). We investigated the effect of the number of electro-competent T. harzianum cells on the transformation efficiency. By increasing the concentration of OSC to about 1.0 x 109/ml, we were able to increase the transformation efficiency 2.3-fold. When a concentration of 2.5 x 109 OSC/ml was used, a sharp decrease in the number of transformants/μg of DNA occurred. This low efficiency correlated with a decrease in the time constant probably caused by the high concentrations of OSC providing a higher resistance (data not shown). A sharp decrease in the transformation efficiency was observed when concentrations of OSC lower than 2.0 x 108/ml were used. The effect of plasmid DNA concentration on the number of transformants obtained by the electroporation of identical quantities of cells was also examined. The transformation efficiency increased with increasing concentrations (up to 40 μg/ml) of plasmid DNA (data not shown).
To date, all protocols known for the chemical transformation of filamentous fungi are based on the utilization of PEG. Figure 3 shows the influence of different concentrations of PEG on the transformation efficiency. The use of 1.0% PEG in the electroporation medium made it possible to obtain an efficiency of 435 transformants/μg of DNA. This efficiency is about four times greater than electroporation without PEG. A control pulse using only PEG in the same concentration did not yield any transformants. Recently, efficient transformation of Rhodococcus fascians (Desomer et al., 1990) and Bacillus thuringiensis (Mahillon et al., 1989) has been obtained by combining PEG and electroporation.
The decreased efficiency of transformation obtained by increasing the concentration of PEG above 1% did not correlate to the survival of the OSC (data not shown). Unexpectedly, the number of transformants was lower when concentrations of PEG below 1% were used than in the control treatment without PEG. This behavior was found to be reproducible in at least three independent experiments. Volumes smaller than 400 μl produced lower numbers of transformants. This result could be expected since reducing the cross-sectional area of the solution at the electrode surface increases the resistance (Shigekawa and Dower, 1988).
Conclusions
There are two major advantages of electroporation over the traditional chemical method of transformation. The first is simplicity: the OSC do not need to be purified by sorbitol gradients, and it is possible to perform many electro-transformations at one time. The second advantage we found is that electroporation is more reproducible than PEG-mediated transformation. An important difference we observed between the two methods was the stability of transformants from T. harzianum when transformed with the plasmid pAN7-1. A possible explanation for this effect could be the activation of the repair system caused by the high-voltage electric pulse.
The results presented here show that OSC from T. harzianum can be efficiently transformed by electroporation. Electroporation is rapid, easy to perform, and requires minimal sample preparation. Therefore, it may prove to be a general method useful for introducing DNA into many fungal species in addition to T. harzianum, A. nidulans (Richey et al., 1989), F. solani (Richey et al., 1989), S. cerevisiae (Delorme, 1989; Hashimoto et al., 1985; Hill, 1989; Karube et al., 1985; Meilhoc et al., 1990; Rech et al., 1990; Weaver et al., 1988), S. pombe (Hood and Stachow, 1990; Weaver et al., 1988), and D. discoideum (Dynes and Firtel, 1989; Egelhoff et al., 1989; Howard et al., 1988). This report presents possibilities to improve transformation systems that have already been described, or to transform other filamentous fungi where PEG-mediated transformation has not been achieved.
References
- Delorme, E., Appl. Environ. Microbiol., 55, 2242 (1989).
- Desomer, J., Dhaese, P., and Van Montagu, M., Appl. Environ. Microbiol., 56, 2818 (1990).
- Dower, W. J., Miller, J. F., and Ragsdale, C. W., Nucl. Acids Res., 16, 6127 (1988).
- Dynes, J. L. and Firtel, R. A., Proc. Natl. Acad. Sci. USA, 86, 7966 (1989).
- Egelhoff, T. T., Brown, S. S., Manstein, D. J., and Spudich, J. A., Molec. Cell. Biol., 9, 1965 (1989).
- Föster, W. and Neumann, E., "Gene Transfer by Electroporation. A Practical Guide." In Neumann, E., Sowers, E. A., and Jordan, C. A., (eds) Electroporation and Electrofusion in Cell Biology, Plenum Press, New York (1989).
- Fromm, M., Taylor, L. P., and Walbot., V., Proc. Natl. Acad. Sci. USA, 82, 5824 (1985).
- Hashimoto, H., Morikawa, H., Yamada, Y., and Kimura, A., Appl. Microbiol. Biotechnol., 21, 336 (1985).
- Herrera-Estrella, A., Goldman, G. H., and Van Montagu, M., Molec. Microbiol., 4, 839 (1990).
- Hill, D. E., Nucl. Acids Res., 17, 8011 (1989).
- Hood, M. T. and Stachow, C., Nucl. Acids Res., 18, 688 (1990).
- Howard, P. K., Ahern, K. G., and Firtel, R. A., Nucl. Acids Res., 16, 2613 (1988).
- Karube, I., Tamiya, E., and Matsuoka, H., FEBS Lett., 182, 90 (1985).
- Laurila, H. O., Nevalainen, H., and Mäkinen, V., Appl. Microbiol. Biotechnol., 21, 210 (1985).
- Mahillon, J., Chungjatupornchai, W., Decock, J. Dierickx, S., Michiels, F., Peferoen, M., and Joos, H., FEMS Microbiol. Lett., 60, 205 (1989).
- Maniatis, T., Fritsch, E. F., and Sambrook, J., Molecular Cloning, a Laboratory Manual. Cold Spring Harbor Laboratory, New York (1982).
- Meilhoc, E., Masson, J.-M., and Teissié, J., Bio/Technol., 8, 223 (1990).
- Miller, J. F., Dower, W. J., and Tompkins, L. S., Proc. Natl. Acad. Sci. USA, 85, 856 (1988).
- Punt, P. J., Oliver, R. P., Dingemanse, M. A., Pouwels, P. H., and van den Hondel, C. A. M. J. J., Gene 56, 117 (1987).
- Raeder, U. and Broda, P., Lett. Appl. Microbiol. 1, 17 (1985).
- Rech, E. L., Dobson, M. J., Davey, M. R., and Mulligan, B. J., Nucl. Acids Res., 18, 1313 (1990).
- Richey, M. G., Marek, E. T., Schardl, C. L., and Smith, D. A., Phytopathology, 79, 844 (1989).
- Shigekawa, K. and Dower, W. J., BioTechniques, 6, 742 (1988).
- Weaver, J. C., Harrison, G. I., Bliss, J. G., Mourant, J. R., and Powell, K. T., FEBS Lett., 229, 30 (1988).
Featured Content
Transfection Solutions
Gene Pulser Xcell Electroporation System
Tried and trusted by thousands of researchers worldwide, transfect every cell type from primary, suspension, and difficult to transfect cells with the Gene Pulser Xcell Electroporation System.

Questions about transfection?